-
This timeline is about the history of the internet
-
US were shocked at the advanced research http://library.thinkquest.org/07aug/01220/space%20race.htm-image of sputink 1
-
John Licklider (MIT)
Leonard Kleinroxk publsihed his first paper on packet-switching library.
http://www.ibiblio.org/hhalpin/homepage/presentations/philoweb/-image of john licklider -
connection between Berkeley and MIT
http://cherlyndeluna.wordpress.com/2011/04/28/wide-area-network/- image of map of connections -
Directed by Larry Roberts at MIT Lincoln Lab, two computers talked to each other using packet-switching technology. http://computerfundamentalspd3.blogspot.com/2011/02/node.html-image for networking node
-
the plans for ARPNET were published http://www.computerhistory.org/internet_history/-image of ARPANET
-
The first node at UCLA ( Los Angeles) is connected to the intertnet's military ARPARNET. With no HQ and the ability to bounce messages between surviving nodes until they reach their destination, ARPANET was to be America's bomb-proof communications networking system at the height of the Cold War. http://sunsite.uakom.sk/sunworldonline/swol-10-1997/swol-10-realworld.html- image of node
-
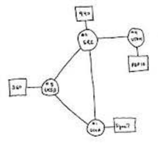
4 computers ( USSA, SRI, UCSB & UTAH) http://www.catazinelive.catreloaded.net/2012/02/internet-software-evolution-part-2/-image of imp
-
Installed Stanford Research Institute; connected to a SDS 940 computer. http://www.computerhistory.org/collections/accession/102649032-image of the SDS 940 computer
-
Installed at University of California, Santa Barbara. Connected to an IBM 360/75. http://www-03.ibm.com/ibm/history/exhibits/attic/attic_054.html- image of IBM 360/75
-
the first packet radio newtork was operational at University of Hawaii. http://www.flyingsnail.com/201112.html- image of first packet radio.
-
15 NODES
-
first ICCC and first program for person to person communication
e-mail. -
First basic e-mail programs written by Ray Tomlinson at BBN for ARPANET: SNDMSG and READMAIL.
p://www.dipity.com/swalton/History-of-the-internet/?mode=fs-image of email -
first international connection (University of College of London)
the years from 1974/1982 were very chaotic, different compeling techniques and protocols. -
each network should work on its own, within each network there would be a "gateway", and packages would be routed through the fastest avaible route
-
Everyone stasrted lauching different networks. (universitys, colleges, people etc.
different types of networks- Telenet, MFENET, HEPNet, SPAN, etc -
Bob Metcalfe and others found 3Com (Computer Communication Compatibility).
http://www.businessinsider.com/inventors-of-mobile-devices-texting-phones-email-voicemail-2011-3?op=1-image of 3Com -
the first time emoticons are used http://www.forrestwalter.com/freelance/project-skyrock.html-image of emoticons
-
Tim Berners-Lee writes program called "Enquire Within," predecessor to the World Wide Web.
http://hills.ccsf.edu/~bleigh/cnit132/second.html-image of Tom Berners-Lee -
the internet was born using TCP/IP standard
-
there are more computers linked
-
feudral agencies created rules etc. for the internet
http://en.wikipedia.org/wiki/File:Nsfnet_logo.jpg-image of NSFNet -
INTRODUCTION OF DNS
http://en.wikipedia.org/wiki/Domain_Name_System-image of DNS -
1 billion 544 million bytes per min on computers
-
Great increase in hosts from the years 1989/2000
1989- 100 000 hosts 1990- 300 000 hosts
1994- 3.2 million hosts and 3000 webistes
1995- 6.4 million hosts and 25 000 websites
1997- 19.5 million hosts and 1.2 million websites
2001-110 million hosts and 30 million websites -
www concept by Tim Berner-Lee
-
the first internet virus through vail in 1989 http://www.newscientist.com/blog/technology/labels/computing.html-image of computer virus
-
ARPANET comes to an end
-
the first search engine the first search engine ( archie)
-
the first browser/ editior program is invented
-
NSF removed restrictions on private access
-
hotmail today hotmail starts web based emails http://www.usteaa.org/tutorial2.htm-image of old hotmail picutre
-
3.2 millions and 3 000 websites by the year 1994
-
WWW consortium (W3C)
-
the different types of codes for java are all over the internet today and you can find them anywhere JAVA source code released
-
6.4 million hosts and 25 000 websites
-
mirabills (isreal) start ICQ http://ohinternet.com/ICQ-image of ICQ logo
-
19.5 million hosts and 1.2 million websites
-
-
more and more hosts
-
the internet is still growing and developing new and different technologies. Everyone around the world uses the internet, not just from computers from phones and other electtronics.