Informatica.jpg.600x600 q96

La storia dell'informatica

  • L'abaco
    1200 BCE

    L'abaco

    L’abaco è lo strumento più antico di calcolo di cui si conosca traccia, i primi esemplari, sotto forma di “tavolette di calcolo” sono apparsi in Mesopotamia e in Cina intorno al 1200 a.C.
    Solo intorno al 1300 d.c. l’abaco, così come oggi lo conosciamo, sostituisce le tavole da calcolo dei cinesi.
  • Leonardo Da Vinci
    1500

    Leonardo Da Vinci

    Studi recenti hanno portato alla luce alcuni disegni di Leonardo Da Vinci, conosciuti come il “Codice di Madrid“, raffiguranti uno strano macchinario concepito per effettuare calcoli con il sistema decimale. Non esistono però tracce storiche del funzionamento di questo meccanismo ideato intorno al 1500.
  • La prima calcolatrice meccanica

    La prima calcolatrice meccanica

    Fù invece Blaise Pascal filosofo, matematico e fisico francese, nel 1643 a realizzare una macchina, un congegno basato su ruote dentate, che eseguiva automaticamente addizioni e sottrazioni, la Pascalina.
  • Leibniz

    Leibniz

    Leibniz, filosofo, scienziato e matematico tedesco, compì uno dei passi più importanti nella storia delle macchine calcolatrici: egli non solo rappresentò i numeri binari usando finalmente le cifre "0" e "1", ma descrisse compiutamente le regole dell'aritmetica binaria.
    Ispirato dalla macchina di Pascal, Leibniz realizzò, nel 1671, una calcolatrice meccanica in grado di effettuare le quattro operazioni e l'estrazione di radice chiamata Stepped Reckoner (calcolatrice a scatti).
  • Jacquard

    Jacquard

    Verso la metà del 1700, il francese Joseph Marie Jacquard applicò ai telai da tessitura, fino ad allora guidati manualmente, un meccanismo a schede perforate che contenevano la sequenza esatta di operazioni da svolgere. Il telaio veniva così guidato in modo automatico
  • Babbage

    Babbage

    Charles Babbage, matematico inglese, costruì nel 1834 il primo calcolatore digitale automatico di uso generale (addizioni, sottrazioni, divisioni, moltiplicazioni): la macchina differenziale, di cui fu realizzato un prototipo imperfetto mentre la seconda, la macchina analitica, fu solo progettata, e costituì un modello per tutti i successivi calcolatori digitali. Tale macchina poteva essere utilizzata tramite delle schede perforate”, concetto ripreso dai famosi telai automatici di Jacquard.
  • Ada Lovelace

    Ada Lovelace

    Lady Ada Lovelace (unica figlia del poeta lord Byron) venne a conoscenza degli sforzi di Babbage e vi si interessò molto, promosse attivamente la macchina analitica e scrisse diversi programmi in quello che oggi chiameremmo il linguaggio assembly della macchina analitica, che tuttavia non furono mai eseguiti effettivamente.
    Ada Lovelace è quindi considerata la fondatrice della scienza della programmazione, almeno nei suoi aspetti teorici.
  • La nascita di IBM

    La nascita di IBM

    Herman Hollerith, ingegnere statunitense, è stato uno dei padri dell‘informatica e primo fondatore, nel 1924, dell’International Business Machine, meglio nota ai nostri giorni come IBM. La nuova azienda diventò in poco tempo il più potente impero industriale nel settore informatico. Hollerith pensò inoltre di codificare le informazioni dei cittadini degli Stati Uniti su schede perforate elaborate velocemente da una macchina tabulatrice.
  • Le valvole termoioniche

    Le valvole termoioniche

    Verso la metà del 1900 nascono le valvole termoioniche o tubi a
    vuoto. Il principio di funzionamento del tubo termoionico è quello dell'emissione termoionica: ogni metallo, soprattutto ad alte temperature, emette elettroni: cariche elettriche.
  • Il Colossus

    Il Colossus

    Il Colossus è stato il primo computer elettronico programmabile nella storia dell‘informatica.
    Costruito e messo in opera nel Regno Unito, durante la seconda guerra mondiale, fu in grado di forzare i codici usati dai tedeschi per
    proteggere la corrispondenza fra Hitler e i suoi capi di stato maggiore.
    Il suo primato cronologico è stato riconosciuto in ritardo a causa del rigoroso segreto imposto dal Regno Unito, resistito per decenni anche dopo la conclusione della guerra.
  • L'ABC

    L'ABC

    L'Atanasoff-Berry Computer (spesso chiamato ABC) è stato il primo computer digitale totalmente elettronico. Il computer fu progettato e costruito nel periodo 1937-42.
    La macchina non implementava un'architettura per memorizzare i programmi, un'architettura che rende i computer attuali così versatili e non poteva essere progrmmato.
  • Aiken

    Aiken

    Howard Hathaway Aiken, matematico statunitense.
    Nel 1944 portò a termine l'Harvard Mark I, una macchina calcolatrice elettromeccanica, automatica, programmabile, che può essere ritenuta la progenitrice dei moderni elaboratori elettronici digitali.
    Durante la seconda guerra mondiale rimase a disposizione unicamente della Marina degli Stati Uniti.
  • La macchina di Von Neumann

    La macchina di Von Neumann

    Lo studio dei calcolatori del matematico e fisico John Von Neumann portò a definire per la prima volta il concetto di elaboratore elettronico a programma memorizzato, la cosiddetta “macchina di von Neumann”, per questo è anche considerato come il padre dell’informatica.
    Von Neumann descrisse l'architettura dell'EDVAC in un documento del 1945, il documento fece conoscere l‘architettura di von Neumann in tutto il mondo stimolando la costruzioni di computer basati su tale architettura.
  • L'ENIAC

    L'ENIAC

    Durante la seconda guerra mondiale il Governo degli Stati Uniti volle realizzare una macchina da calcolo, l'ENIAC.
    Questa doveva essere capace di risolvere i problemi di calcolo balistico, e venne portato a compimento nel 1946.
    Furono utilizzate valvole termoioniche, la programmazione avveniva tramite cavi elettrici di collegamento sui pannelli, che dovevano essere ogni volta scollegati e ricollegati, ed ogni configurazione consentiva al computer di risolvere un diverso problema.
  • L’EDVAC

    L’EDVAC

    L'EDVAC è uno dei primi computer elettronici digitali della storia e uno dei primi computer della storia basati sull‘architettura di von Neumann, divenne operativo nel 1951 e fu progettato dagli stessi progettisti dell‘ENIAC.
    L'EDVAC utilizzava il sistema di numerazione binario.
    I progettisti dell‘ENIAC proposero la costruzione dell'EDVAC nel 1944, prima ancora che l'ENIAC fosse pienamente operativo e vennero aiutati nello sviluppo da John von Neumann che si aggiunse al team come consulente.
  • Gli elaboratori

    Gli elaboratori

    Nel 1957 l’IBM introduce e inizia le installazioni dei sistemi RAMAC, si tratta dei primi elaboratori commerciali che dispongono di una unità a dischi fissi per la memorizzazione di dati che sostituisce le ingombranti e lente unità a nastro magnetico.
  • I transistor

    I transistor

    Nel 1959 nacquero i transistor, miglioramento rispetto alle valvole termoioniche:
    – Dimensioni molto minori
    – Dissipazione di energia molto minore
    – Vita media molto maggiore
  • Le invenzioni degli anni '60

    Le invenzioni degli anni '60

    Il 1960 vede la fine delle schede perforate come dispositivo di input e di programmazione. La DEC infatti, introduce il PDP-1, il primo computer commerciale con un monitor e tastiera per l’input.
    Nel 1962 nasce al MIT il primo videogame della storia.
    Nel 1964 Doug Engelbart inventa il mouse, nello stesso anno nascono i circuiti itegrati.
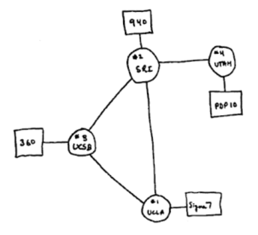
  • I sistemi UNIX e la nascita di Internet

    I sistemi UNIX e la nascita di Internet

    Intorno al 1969 nasce il sistema operativo Unix.
    Questo nuovo sistema operativo a differenza dei predecessori era multiutente e multiprocesso; due sistemi unix potevano dialogare tra di loro attraverso una rete gettando le basi per la nascita di ARPAnet, la rete antenata di Internet.
    Nel 1971 vine realizza la più importante applicazione della rete: la posta elettronica.
  • I microprocessori

    I microprocessori

    Nel 1971 nascono i microprocessori e gli elaboratori iniziano ad essere strumenti di massima diffusione, dai personal computer ai grossi elaboratori presenti nelle aziende.
    Un microprocessore è un'implementazione fisica della CPU in un singolo circuito integrato.
  • L’era degli home computer

    L’era degli home computer

    Nel 1977 esce sul mercato l’APPLE II il primo home computer con programmi di videoscrittura, fogli di calcolo, giochi e tanto altro. Nello stesso anno Bill Gates e Paul Allen fondano la Microsoft.
    Negli anni successivi sempre più computer vengono venduti, vengono introdotti i CD-ROM e la Microsoft sviluppa Windows 1.0.
  • L’era di Internet

    L’era di Internet

    Nel 1989 Tim Berners-Lee propone il progetto World Wide Web (WWW) al CERN. Nel 1990 nasce l’internet dei nostri giorni: Berners Lee scrive il prototipo iniziale per il WWW. Nel 1991 Linus Torvalds scrive la prima versione del sistema operativo Linux. Nel 1994 nasce il software che cambierà la storia: Jim Clark e Marc Andreesen fondano la Netscape Communications. Nel 1998 Internet è in quasi tutti gli uffici e in molte case.
  • Internet nei nostri giorni

    Internet nei nostri giorni

    Dal 2000 al 2010 internet è ovunque attraverso connessioni via cavo, satellite o wi-fi: da ogni dispositivo è possibile accedere a internet. I telefoni cellulari si sono trasformati in dei mini PC tascabili connessi permanentemente alla rete e capaci di eseguire video in tempo reale. Grazie al VoIP è possibile telefonare sfruttando la rete. E’ anche il periodo in cui Apple ritorna alla ribalta creando prodotti come l’iPhone e l’iPad basati su un interfaccia touch di estrema qualità e usabilità.