Psico5bis

Antecedentes Históricos de la Medición Psicológica

  • Laboratorio de Wundt

    Laboratorio de Wundt

  • Cattel y Wundt rodeados por colaboradores y estudiantes en Leipzig, el lugar del primer laboratorio experimental para la investigación psicológica.

    Cattel y Wundt rodeados por colaboradores y estudiantes en Leipzig, el lugar del primer laboratorio experimental para la investigación psicológica.

  • Wilhelm Wundt [Alemania, 1832-1920]

    Wilhelm Wundt [Alemania, 1832-1920]

    Surge la psicología experimental al abrir un laboratorio en la Universidad de Leipzig sus aportaciones a la psicometría fueron:
    a) Se concentró en la estandarización de las condiciones y la precisión de la medición.
    b) Se centralizó en los procesos elementales, es decir, sensación, percepción, reacciones motrices simples y otros.
  • Laboratorio antropométrico de Galton

    Laboratorio antropométrico de Galton

  • Diagrama de distribución bivariada

    Diagrama de distribución bivariada

  • Francis Galton [Reino Unido, 1822-1911]

    Francis Galton [Reino Unido, 1822-1911]

    Considerado como el fundador de la psicometría por muchos, abrió su laboratorio antropométrico en el que por tres centavos las personas podían ser evaluadas en diversas características, popularizando así la noción de medición mental y produjo una reserva amplia de datos naturales; también inventó el diagrama de distribución bivariada, y creó y utilizó numerosas pruebas de agudeza sensorial, discriminación, tiempo de reacción y otras, siguiendo las mismas lineas que Wunt en sus mediciones.
  • Prueba mental

    Prueba mental

  • James McKeen Cattell [EUA, 1860-1944]

    James McKeen Cattell [EUA, 1860-1944]

    Acuño el término prueba mental en un artículo famoso, fue presidente de la APA (American Psychological Association) y fue uno de los fundadores de la Psychological Corporation; así mismo creó una batería de 50 preguntas para pronosticar un buen desmpeño académico (antecedentes conceptuales de los SAT y ACT), aunque estas fueron un fracaso colosal como indicadores su obra ejerció gran influencia.
  • 10  de las 50 pruebas de la batería de Cattell

    10 de las 50 pruebas de la batería de Cattell

    1. Presión en dinamómetro [fuerza de sujeción]
    2. Velocidad de movimiento
    3. Áreas de sensación
    4. Presión que causa dolor
    5. Diferencia apenas perceptible en peso
    6. Tiempo de reacción al sonido
    7. Periodo para mencionar colores.
    8. Bisección de una línea de 50cm.
    9. Juicio de 10 segundos
    10. Cantidad de letras recordadas en una sola audición.
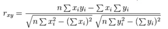
  • Karl Pearson [Reino Unido, 1857-1936]

    Karl Pearson [Reino Unido, 1857-1936]

    Inventó el coeficientede correlación
  • Correlaciones

    Correlaciones

  • Fórmula del coeficiente de correlación de Pearson

    Fórmula del coeficiente de correlación de Pearson

  • Inteligencia

    Inteligencia

  • Inferencias verbales el mejor indicador de inteligencia según Ebbinghaus

    Inferencias verbales el mejor indicador de inteligencia según Ebbinghaus

  • Hermann Ebbinghaus [Alemania, 1850-1909]

    Hermann Ebbinghaus [Alemania, 1850-1909]

    Realizó el primer gran intento por lidiar adecuadamente con el problema de la naturaleza real de la inteligencia según Spearman, aunque su trabajo fue muy lejos de ser valorado. Él considera que la capacidad para hacer conexiones e inferencias, sobre todo de naturaleza verbal, es el mejor indicador de la inteligencia.
  • Charles Spearman [Reino Unido, 1863-1945]

    Charles Spearman [Reino Unido, 1863-1945]

    Publicó un trabajo que apareció en el American Journal of Psychology en el cuál anunciaba la teoría "bifactorial" de la inteligencia, se trató de la primera teoría con fundamentos empíricos sobre la inteligencia humana y un producto de los nuevos métodos de medición mental.
  • Amercian Journal of Psychology

    Amercian Journal of Psychology

  • Teoría "bifactorial"

    Teoría "bifactorial"

  • Alfred Binet [Francia, 1857-1911]

    Alfred Binet [Francia, 1857-1911]

    Fue publicada por primera vez la Binet-Simon Scale, la cuál fue creada con el propósito de identificar a estudiantes que estuvieran en posibilidades de aprovechar mejor las escuelas especiales, que la instrucción regular en el salón de clases.
    Apareció en su versión revisada, incuido el primer uso de edades mentales. (1908). Es considerado el padre de las pruebas de inteligencia.
  • Escala Binet Simon

    Escala Binet Simon

  • Alfred Binet con infante aplicando una prueba.

    Alfred Binet con infante aplicando una prueba.

  • Curva normal y puntajes de CI de la prueba Stanford-Binet.

    Curva normal y puntajes de CI de la prueba Stanford-Binet.

  • CI [Coeficiente intelectual]

    CI [Coeficiente intelectual]

  • Lewis Terman [EUA 1877-1956]

    Lewis Terman [EUA 1877-1956]

    Se publicó la Stanford Revision of the Binet Scales [o la Stanford -Binet]. Terman planeó esta revisión de la prueba Binet, la cuál comprendía nuevos reactivos (casi el doble), nuevas investigaciones de ensayo, un programa de normalización nacional (EUA) ambicioso y el primer uso generalizado de la razón de CI.
  • Escala de Inteligencia Otis para grupos.

    Escala de Inteligencia Otis para grupos.

  • Army Alpha and Beta Tests

    Army Alpha and Beta Tests

  • Arthur Otis [EUA 1886-1964]

    Arthur Otis [EUA 1886-1964]

    Desarrollo una prueba de inteligencia aplicada a grupos de uso generalizado llamada Otis Group Intelligence Scale, esta era una forma de aplicación a grupos de la prueba tipo Binet, ambas establecieron el uso de una sola calificación para representar la inteligencia. Su obra concluyó con las versiones verbal y no verbal de la prueba Army Alpha and Beta.
  • David Wechsler [Rumania 1896-1981 EUA]

    David Wechsler [Rumania 1896-1981 EUA]

    Psicólogo clínico, creó la Wechsler-Bellevue Intelligence Scale ya que no estaba contento con el uso de la Stanford-Binet (prueba diseñada para niños) con sus pacentes adultos creó una que fuera más adecuada para éstos. Las descendientes de esta prueba reemplazarían a la Stanford-Binet como las principales pruebas de inteligencia de aplicación individual.
  • WAIS

    WAIS

  • Material de la prueba WAIS [1955]

    Material de la prueba WAIS [1955]