1

Bhaskara Akaria - Vanessa Ruotolo

By ruotolo
  • Nascimento
    1114

    Nascimento

    Baskara nasceu em 1114 na cidade de Vijayapura na India, em seu nascimento devido a complicações durante o parto sua mãe não resiste e morre. Ele foi criado por seu Pai Mahesvara.
  • Morte do seu Pai
    1134

    Morte do seu Pai

    Seu Pai era uma famoso astrólogo e matemático chamado Mahesvara, ele lhe ensinou muito sobre a matemática, na época era muito comum que os ensinamentos fossem passados de pai para filho. Com a morte do seu pai em 1134 ele assumiu um cargo no Governo de Uijjain e passaria a ter mais oportunidades para se aprofundar nos estudos.
    Ele passa a trabalhar no observatório astronômico de Uijan que futuramente passaria a ser o principal centro matemático da India.
  • Livros de Bhaskara
    1150

    Livros de Bhaskara

    Assim como outros matemáticos costumavam escrever ao inverso, ele não foi diferente. Sua principal obra foi escrita quando ele tinha 36 anos em 1150, essa obra foi dividida em duas partes: Goladhyaya-Esfera Celeste e Granaganita-Matemática dos Planetas. Esses dois livros tratam sobre trigonometria e matemática aplicada à astronomia. Nesta obra encontram-se a soma e diferença de senos de dois ângulos.
  • Lilavati sua Filha!
    1150

    Lilavati sua Filha!

    Outra obra muito conhecida é Lilavati que significa formosa e bela, em sânscrito, há hipóteses de que esse seria o nome da sua filha. Neste livro há assuntos como sistema de numeração, operações fundamentais, frações, regra de três simples e composta, misturas, porcentagem, progressões, geometria e equações indeterminadas , dentre outros. Ele é escrito em forma de poema com 278 versos. Este livro segundo a pesquisa que eu fiz ficou bem popular entre 1556 e 1605.
  • Contribuições de Bhaskara
    1150

    Contribuições de Bhaskara

    Ele contribuiu muito para a matemática, antecipou a convenção moderna de sinais, foi o primeiro a obter alguma compreensão de um número dividido por zero, nesses seus estudos e teoria, ele teria afirmado erroneamente que o número ao ser dividido por zero e multiplicado por zero seria igual ao número (a). Hoje sabemos que a divisão por zero não é definida e que todo número multiplicado por Zero é Zero!
  • Morte de Bhaskara
    1185

    Morte de Bhaskara

    Bhaskara alcançou uma compreensão do sistema numérico e resolução de equações já no século 12 (doze), essa compreensão para os europeus só chegaria 05 (cinco) séculos depois.
    Ele estava bem ciente do cálculo diferencial, mas ainda não reconhecia a genialidade do seu estudo.
    Bhaskara morre aos 71 anos, no ano de 1185, ultrapassando a expectativa de vida da época e região.
  • Criação de Instituição
    1207

    Criação de Instituição

    Ele é visto como um dos maiores matemáticos da índia medieval, no entanto em 1207 foi criada uma instituição para estudar suas obras
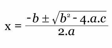
  • Fórmula de Bhaskara!

    Fórmula de Bhaskara!

    A Fórmula de Bhaskara! No mundo acadêmico é muito comum dar o nome do pesquisador à sua obra, no entanto em 1960 a fórmula estruturada pelo matemático François Viète (1540 a 1603) passa a ser utilizada em livros e chamada dessa forma. Vale lembrar que certos registros colocam a existência dessa "receita" a 4000 (quatro mil) anos atrás e que esse nome é apenas utilizado no Brasil.