Luz

Historia de la naturaleza de luz: Línea del tiempo desde los griegos

  • Platón y Demócrito
    950 BCE

    Platón y Demócrito

    Formularon las primeras ideas granulares sobre la luz.
    Platón: La luz son tetraedros que viajan en distintas velocidades.
    Demócrito: Las partículas están vacías, presentan diferentes formas y orientaciones, y se asocian entre ellas para formar los colores.
  • Empédocles
    900 BCE

    Empédocles

    Empédocles mencionó sobre la existencia de cuatro elementos fundamentales (tierra, aire, agua y fuego), pero también habla sobre la percepción y los sentidos y ahí, por fin, encontramos la primera mención de la Historia sobre la naturaleza de la luz.
  • Homero
    800 BCE

    Homero

    850 antes de nuestra Era, Homero recoge las creencias de la Iliada y la Odisea: Los ojos de los seres vivos proyectan un rayo de fuego sutíl en la visión, se produce por el encuentro de ese fuego interior con la del exterior.
  • Antigua Grecia
    500 BCE

    Antigua Grecia

    Primera Teoría de la Luz:
    Teoría de la Extramisión:
    Planteaba que la luz,salía de los ojos y recogía su forma,como una suerte de mano que tocaba objetos.
  • Edad Media: Alhazen : Precursores Árabes
    1000

    Edad Media: Alhazen : Precursores Árabes

    Alhazén llevó a cabo también diversos estudios referidos a la reflexión y la refracción de la luz, al origen del arco iris y al empleo de las lentes, a través de la denominada cámara oscura. Asimismo, defendió la idea de la finitud del espesor de la atmósfera terrestre.
  • Edad Media: Al Farisi: Precursores Árabes
    1300

    Edad Media: Al Farisi: Precursores Árabes

    Al Farisi mencionó sobre la óptica fue incitado por una duda sobre la refracción de la luz. Teoria del arcoíris, y la velocidad de la luz, percursos de índice de refracción.
  • Las primeras gafas de la historia
    1300

    Las primeras gafas de la historia

    Alejandro de la Espina y Roger Bacon, hacia la mitad del siglo XIII comunicaron el secreto de la fabricación de las lentes. Gracias a su descubrimiento, los frailes de más edad podían continuar con sus labores aunque tuviesen problemas de visión debido a la vejez.
  • Las primeras gafas de la historia con aumento
    1317

    Las primeras gafas de la historia con aumento

    Fue el físico florentino Salvíno degli Armati (1245-1317), diseña las primeras gafas de la historia, uniendo dos vidrios a los que da cierto grosor y curvatura y que son capaces de aumentar los objetos, útiles para la vista cansada.
    Es probable, sin embargo, que las primeras gafas las construyera algún cristalero desconocido, dado el origen popular de la palabra lente que procede del italiano lentil, lenteja, usado como “lenteja de cristal”.
  • Snell : Principio de Refracción

    Snell : Principio de Refracción

    Principio de refracción años antes. Descartes usó su principio, Ley Snell- Descartes
  • Refracción de la Luz

    Refracción de la Luz

    Snell, sentó las bases de la óptica geométrica, enunciando la ley de refracción de la luz es un fenómeno que vemos de canto en un vaso lleno de agua con un lápiz dentro que parece quebrarse la cual dice: un rayo de luz que atraviesa la superficie que separa dos medios diferentes es igual al ángulo con el que incide ese rayo por el índice de refracción.
  • Descartes : Óptica Moderna

    Descartes : Óptica Moderna

    Descartes publica el Discurso del Método, en él se incluyen los tratados de la Dióptrica, los meteoros y la geometría. Explica el fenómeno del Arcoíris.
  • Issac Newton

    Issac Newton

    Prisma luz blanca, Colores, Índices de refracción distintos, la luz blanca espectros; teoría emisión diminutos corpúsculos atraídos por el medio.
    * Siglo 18 Un conjunto de corpúsculos de diferentes colores
  • Rasmus Bartholin : Birrefracción o Direfracción

    Rasmus Bartholin : Birrefracción o Direfracción

    Birrefracción o Direfracción, Bartholin lo observó en la calcita, un cristal que tiene una birrefringencia fuerte.
  • Hooke y Huygens : Teoría Ondulatoria

    Hooke y Huygens : Teoría Ondulatoria

    El holandés Christian Huygens y el inglés Robert Hooke desarrollan la primera teoría ondulatoria de la naturaleza de la luz basándose en ideas previas de René Descartes.
  • Finales del Siglo XVII : Christian Huygens

    Finales del Siglo XVII : Christian Huygens

    Huygens: Tratado de la luz,Principio de la Propagación de la luz, la luz viaja mas rápido en el aire que en el agua. Polarización.
  • Ole Rømer: Velocidad de la Luz

    Ole Rømer: Velocidad de la Luz

    Velocidad de la luz.
  • Fernard Principios: Ley de Refracción y Espejismos

    Fernard Principios: Ley de Refracción y Espejismos

    Fermard: principio de tiempo mínimo, explica la ley de refracción, y los espejismos
  • Siglo XVIII: Ptolomeo

    Siglo XVIII: Ptolomeo

    Realizó un estudio de las propiedades de la luz, la cual está recogido en su tratado Óptica. Refracción atmosférica y la distancia entre las estrellas.
  • Siglo XVII : Euclides

    Siglo XVII : Euclides

    Euclides: en su tratado de la Óptica, realiza un estudio matemático de la luz, elaborando postulados importantes, relativos a la naturaleza de la luz y afirmando que la luz viaja en línea recta.
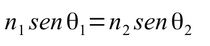
  • Ley de Snell

    Ley de Snell

    La refracción es el cambio de dirección que experimenta una onda al pasar de un medio material a otro. Sólo se produce si la onda incide oblicuamente sobre la superficie de separación de los dos medios y si estos tienen índices de refracción distintos. La refracción se origina en el cambio de velocidad de propagación de la onda, cuando pasa de un medio a otro.
  • Siglo XVII: Francesco Maria de Grimaldi

    Siglo XVII: Francesco Maria de Grimaldi

    Euclides: en su tratado de la Óptica, realiza un estudio matemático de la luz, elaborando postulados importantes, relativos a la naturaleza de la luz y afirmando que la luz viaja en línea recta.
  • Inicios del Siglo XIX: Fresnel

    Inicios del Siglo XIX: Fresnel

    Fresnel otorgado el premio de Paris basada en la teoría ondulatoria, la vibraciones de la onda luminosa, difracción mínimos detalles. Fresnel comprende la hipótesis: polarización de la luz y todos los conocidos luminosos.
  • Polarización de la Luz: Arago

    Polarización de la Luz: Arago

    Pocos años después, Arago (1786-1853) y Fresnel (1788-1817), a quienes ya hemos citado por sus grandes aportaciones sobre la difracción de la luz, estudiaron en detalle fenómenos que manifiesta la luz polarizada. Comprobaron que dos rayos polarizados ubicados en un mismo plano se interfieren, pero en cambio no lo hacen, si están polarizados entre sí, cuando se encuentran perpendicularmente.
  • Polarización de la Luz: Malus

    Polarización de la Luz: Malus

    Malus (1775-1812) había realizado varios experimentos para verificar aspectos de la teoría ondulatoria de Huygens y la reescribió en forma analítica. En sus trabajos estudió detalladamente la polarización y en 1808 descubrió que también se produce en la reflexión, poniendo en evidencia que no era un fenómeno inherente a medios cristalinos. Su descubrimiento de la polarización de la luz por la reflexión fue publicado en 1809 y enseguida desarrolló también una teoría de la doble refracción.
  • Ya situados en el Siglo XIX: Aportaciones de Científicos

    Ya situados en el Siglo XIX: Aportaciones de Científicos

    Ya situados en el siglo XIX y antes de acercarnos a dos figuras clave en el estudio de la luz, merece la pena citar a algunos científicos que realizaron aportaciones importantes durante esta centuria: Étienne-Louis Malus, Joseph von Fraunhofer, Robert Bunsen, Gustav Kirchhoff o Hippolyte Fizeau (que determinó la velocidad de la luz como 300.000 Km/s en 1849 sin usar mediciones astronómicas).
  • Líneas Oscuras de Fraunhoffer

    Líneas Oscuras de Fraunhoffer

    Al observar el espectro solar, Fraunhoffer observa que en el espectro existen líneas oscuras. Fraunhofer redescubrió las líneas de forma independiente y comenzó un estudio sistemático y medición cuidadosa de la longitud de onda de estas bandas. En total, describió alrededor de 570 líneas y asignó a las bandas principales las letras de la A a la K, y a las más delgadas con otras letras.
  • Malus: Reflejo del Sol

    Malus: Reflejo del Sol

    Observó el reflejo del sol mediante un polarizador.
  • Michael Faraday: Electromagnetismo

    Michael Faraday: Electromagnetismo

    El estudio clásico de la luz se produce en 1845 cuando Michael Faraday descubre el efecto que lleva su nombre (rotación del plano de polarización de la luz por un campo magnético). Faraday propone que los efectos magnéticos y eléctricos asociados a la materia tienen influencia sobre la propagación de la luz. Realizando, de esta forma, el primer acercamiento entre materia y luz.
  • James Clerk Maxwell

    James Clerk Maxwell

    Sobre la base de los experimentos realizados por Faraday, el escocés James Maxwell se da cuenta de la relación existente entre electricidad, magnetismo y luz y desarrolla la formulación matemática del campo electromagnético que se concreta en las famosas ocho ecuaciones de Maxwell. Maxwell termina, de esta forma, con la teoría corpuscular de Newton al afirmar que la luz es una onda. Sin embargo, las ondas para su propagación, de acuerdo al conocimiento existente en la época.
  • Robert Bunsen and Gustav Kirchhoff

    Robert Bunsen and Gustav Kirchhoff

    Más adelante, Kirchhoff y Bunsen descubrieron que cada elemento químico tenía asociado un conjunto de líneas espectrales, y dedujeron que las bandas oscuras,descubrieron que cada elemento químico tenía asociado un conjunto de líneas espectrales, y dedujeron que las bandas oscuras en el espectro solar las causaban los elementos de las capas más externas del Sol mediante absorción. Algunas de las bandas observadas también las causan las moléculas de oxígeno de la atmósfera terrestre.
  • Operaciones con láser

    Operaciones con láser

    Un láser es dirigido a la malla trabecular, el iris, cuerpo ciliar o la retina y es usada de diversas maneras para reducir la presión del ojo. La cirugía láser se realiza de forma ambulatoria en la oficina del médico de ojos o clínica después de que el ojo ha sido adormecido.
  • Albert Michelson

    Albert Michelson

    Demostró que los rayos de luz enviados en diferentes direcciones desde la Tierra se reflejan a la misma velocidad
  • Porfiri Bajmétiev

    Porfiri Bajmétiev

    Conocido como físico y biólogo, ofreció una idea para un sistema televisivo, teóricamente posible, al que llamó “telefotógrafo”. Su mérito fue que, aunque no construyó un aparato, planteó el primero de los principios fundamentales de la televisión: la descomposición de una imagen en elementos separados para la transmisión consecutiva a distancia (de forma independiente una idea similar la formuló el portugués Adriano de Paiva)
  • Finales Siglo XXVIX : Arnold Sommerfeld

    Finales Siglo XXVIX : Arnold Sommerfeld

    Sommerfeld definió la difracción como la propagación no rectilínea de la luz que no se puede interpretar a partir de las leyes de la reflexión y de la refracción.
  • El 3D

    El 3D

    El 3D se patentó en 1890 por William Friese-Greene, un fotógrafo e inventor inglés, quien fue responsable de los primeros aparatos cinematográficos en Inglaterra. Años más tarde, Frederick Eugene Ives comenzó a utilizar una cámara con dos lentes de diferente color.
  • Alexander Popov

    Alexander Popov

    Aleksandr Stepánovich Popov (1859-1905), fue un prestigioso físico e inventor ruso recordado particularmente por la invención de la antena y la transmisión de ondas electromagnéticas a distancia. El 7 de mayo de 1895, Popov demostró la recepción de señales de radio desde un transmisor en la Sociedad Rusa de Física y Química. Desde entonces, este día se celebra como “el día de la radio”.
  • NIKOLAI SEMIONOV

    NIKOLAI SEMIONOV

    Fue un químico y profesor universitario ruso/soviético al cual se de debe una definición nueva de comportamiento de un átomo.
    los campos magnéticos se producen por cualquier carga eléctrica producida por los electrones en movimiento y el momento magnético de las partículas elementales asociadas con su propiedad cuántica fundamental el espín.
  • Física cuántica : Bohr, Einstein, Heisenberg, De Broglie, Schrodinger y Dirac.

    Física cuántica : Bohr, Einstein, Heisenberg, De Broglie, Schrodinger y Dirac.

    Desarrollaron Física cuántica ( átomos y moléculas)
  • Max Planck: Curva de emisión luminosa del cuerpo negro.

    Max Planck: Curva de emisión luminosa del cuerpo negro.

    Max Planck realiza una hipótesis revolucionaria para interpretar La curva de emisión luminosa del cuerpo negro.
  • PAVEL CHERENKOV

    PAVEL CHERENKOV

    Observo la emisión de luz azul de una botella de agua sometida a un bombardeo radiactivo. Este fenómeno, asociado a las partículas atómicas cargadas que se movían a velocidades próximas a la velocidad de la luz, resultó ser muy importante en el trabajo experimental sobre física nuclear y el estudio de los rayos cósmicos, lo que se llama radiación de Cherenkov.
  • La teoría cuántica de Einstein

    La teoría cuántica de Einstein

    La teoría cuántica de Einstein tiene que ver con que la luz no son ondas continuas, sino “quanta” (cuántos o Quantos), es decir fotones, que no son ondas sino partículas.
    Por la demostración de esto, recibió el premio Nobel.
  • Borís Rózing

    Borís Rózing

    El profesor de la Universidad Tecnológica de San Petersburgo, Borís Rózing, por primera vez en la historia mostró en la pantalla de cristal del tubo de rayos catódicos una imagen televisiva.
  • Gilbert N. Lewis

    Gilbert N. Lewis

    Propuso el nombre de "fotón" para el cuanto de luz.
  • Werner Heisenberg: Elevado número de partículas

    Werner Heisenberg: Elevado número de partículas

    La luz también puede concebirse como una corriente de partículas (cuantos de luz denominados fotones) y el momento de un fotón es inversamente proporcional a su longitud de onda. Así, cuanto más pequeña sea la longitud de onda de la luz, mayor será el momento de sus fotones. Si un fotón de pequeña longitud de onda y momento elevado golpea la partícula emplazada en el microscopio, transmite parte de su momento a dicha partícula; esto la hace moverse, creando una incertidumbre.
  • Nikolay Basov

    Nikolay Basov

    Nikolái Gennádiyevich Básov (1922-2001), fue otro de los grandes físicos soviéticos, además de educador y compartir el Premio Nobel de Física de 1964 con Aleksandr Prójorov y Charles Hard Townes, por su gran trabajo en el campo de la electrónica cuántica para el desarrollo del láser y el máser. Encabezó grandes equipos científicos e investigaciones a lo largo de su vida y entre otras cosas, también fue canciller de la Academia rusa de las Ciencias.
  • Louis-Victor de Broglie

    Louis-Victor de Broglie

    Presentaba por primera vez la dualidad onda corpúsculo característica de la mecánica cuántica. Su trabajo se basaba en los trabajos de Einstein y Planck.
  • Arnold Sommerfeld

    Arnold Sommerfeld

    Determina que la difracción es toda desviación de los rayos luminosos a su trayectoria rectilinea que no puede ser explicada por una reflexión o una refracción
  • Disco duro

    Disco duro

    Un disco duro es una unidad de hardware que se usa para almacenar contenido y datos digitales en las computadoras. Todas las computadoras tienen un disco duro interno, pero también hay discos duros externos que pueden usarse para ampliar el almacenamiento de una computadora.
  • Criptomonedas

    Criptomonedas

    Una criptomoneda, criptodivisa o criptoactivo es un medio digital de intercambio que utiliza criptografía fuerte para asegurar las transacciones, controlar la creación de unidades adicionales y verificar la transferencia de activos usando tecnologías de registro distribuido
  • Gafas de Sol Polarizadas

    Gafas de Sol Polarizadas

    Las gafas de sol polarizadas se han puesto muy de moda en los últimos tiempos. Si antes se solía recurrir a ellas tan solo para practicar algunos deportes, hoy en día es habitual utilizarlas en situaciones mucho más cotidianas. Por este motivo vamos a explicar las ventajas y los inconvenientes de este tipo de accesorios.
  • Gafas actuales

    Gafas actuales

    Se usan principalmente para compensar defectos de la vista, tales como la miopía, el astigmatismo o la hipermetropía, aunque también existen gafas especiales para proteger a los ojos en actividades en las que exista un riesgo para estos (en este caso si no tienen corrección óptica no son producto sanitario).
  • Los celulares emiten radiación

    Los celulares emiten radiación

    Los científicos llevan años estudiando este fenómeno y publicando estudios que no parecen tener una conclusión determinante.
    Pero lo que sí sabemos es que las ondas de radiofrecuencia son una forma de radiación no ionizante, menos potente que la ionizante, que se desprende de los rayos X o ultravioleta, y que ésta última es capaz de romper enlaces químicos en nuestro ADN.
  • WiFi

    WiFi

    Desde 1999,tecnología que permite conectar diferentes equipos informáticos a través de una red inalámbrica de banda ancha.
  • Video Beam Actual

    Video Beam Actual

    Un proyector de vídeo utiliza una entrada de fuente de vídeo que se transmite internamente a una pantalla pequeña. La luz brilla a través de la pantalla, luego es capturada y enfocada por un objetivo o varios objetivos para ser visualizada en una superficie a una distancia determinada.
    Eadweard Muybridge inventó el primer proyector 1880, dando así inicio al movimiento y también a la animación.
  • Videojuegos

    Videojuegos

    Desde 1972,un videojuego es una aplicación interactiva orientada al entretenimiento que, a través de ciertos mandos o controles, permite simular experiencias en la pantalla de un televisor, una computadora u otro dispositivo electrónico.